CHAPTER FIVE

NUMBER BASES

5.3.1.2.       How to convert octal to Binary

To convert octal to binary employ the following strategies

1.  Split the binary number into groups of 3
2. Check in the corresponding value in the table.

Example 1- Convert Octal to binary

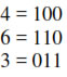
To convert octal 463 to binary employ the following strategies:
Look into the octal table the binary equivalent of each of the octal value, 4, 6 and 3

The binary equivalent of the octal 463 is 011 110 100

5.1.3.3. How to convert binary to octal

Step 1

Split the binary into groups of three

Step 2

Look up for the corresponding values from the Octal table.

Page 39 Page 40 Page 41

Copyright@2015. Digital Vision Digital Content Development Unit. www.digitalvision.net.ng